8月26日晚,有网友发现郑爽超话已被关闭。不久后,郑爽的微博被永久禁言。腾讯视频和乐视已经下架郑爽主演的《古剑奇谭》,优酷下架郑爽主演作品《微微一笑很倾城》。
与此同时,张恒的微博账号也被禁言,但与郑爽不同的是,张恒的微博是被暂时禁言。 微博被禁言、作品被下架,郑爽一下不淡定了...... 随后,有网友发现,郑爽用背景图代替发文说明片酬和孩子的事情,并把头像改为申请注销。
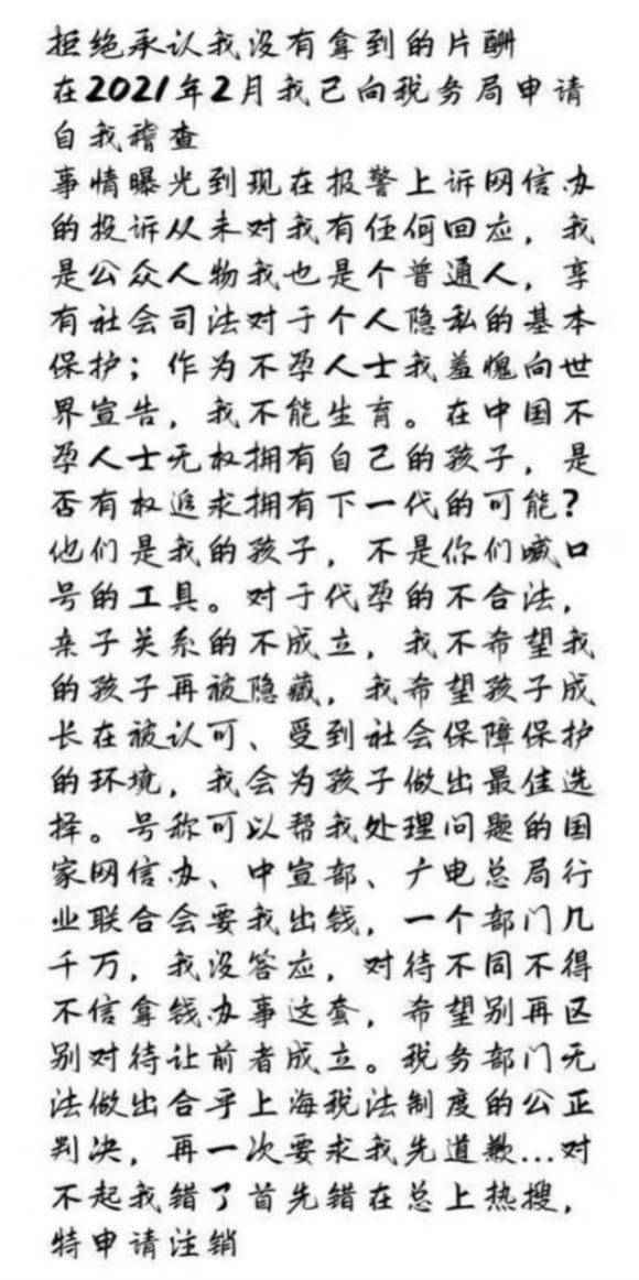
郑爽在背景图中表示,自己拒绝承认没有拿到的高额片酬,还称已经于2021年2月向税务局申请自我稽查,郑爽表示,自己是公众人物也是普通人,应该享有社会司法对于个人隐私的基本保护。 对于孩子的事情,郑爽则表示,自己是不孕人士,但她愧于向世界宣告自己不能生育,虽然不能生孩子,但郑爽表示:是否有权追求拥有下一代的可能?还表示,“他们是我的孩子,不是你们喊口号的工具。” 最后还表示自己申请注销账号。
在另一张背景图中,郑爽又表示如果还有机会,自己将在8月29日发布一封给社会的致歉信。郑爽直言:社会对流量明星的评价对于我并不适用。还说自己是个普通人,最后她表示会做出让大家满意的道歉。 有网友表示,郑爽这次发声在不断地为自己开脱,先是说自己没拿高额片酬,又说自己是因为不能生育才去代孕的,同时不断强调自己“普通”“平凡”,不仅喊冤,甚至还质疑相关部门,但好在事件发展至今,已经很少有人再愿意相信她了。
但郑爽在背景图处发声后不久,上海市税务局第一稽查局就公布了郑爽偷漏税案件的处理结果,将对郑爽追缴税款、加收滞纳金并处罚款共计2.99亿元,同时,结果中介绍了,郑爽于2019年主演电视剧《倩女幽魂》,与制片人约定片酬为1.6亿元,实际取得1.56亿元,未依法如实进行纳税申报,偷税4302.7万元,其他少缴税款1617.78万元。这直接打脸了郑爽之前所说的自己没拿高额片酬。而对郑爽提出的追缴税款和罚款要求,在郑爽的口中竟成了国家各个部门要叫她要钱。 而国家广电总局也表示,坚决支持税务部门对演员郑爽偷逃税案件的处理决定,各级广播电视播出机构、广播电视视频点播业务开办机构和网络视听节目服务机构不得邀请郑爽参与制作节目,停止播出郑爽已参与制作的节目。郑爽的演艺之路彻彻底底结束。
或许是知道自己理亏,上午,郑爽已换掉了头像和背景图。 而公开将郑爽拿天价片酬、偷税漏税拿到台面上来说的张恒作为郑爽《倩女幽魂》项目的经纪人,也牵涉到了郑爽偷漏税的事宜中去,也将被立案调查。
而昨晚被清查的不仅郑爽一人,赵薇影视作品无法播出、高晓松节目下架、霍尊超话关闭.....每个人都要为自己的行为负责,扫清娱乐圈的乌烟瘴气,营造良好的娱乐圈氛围。 |






